Z cyklu: Nowe stałe fizyczne cz.2
Wstęp.
Ciekawa ta nauka – fizyka. Jak się dokładnie przyjrzeć temu co odkryli chłopcy fizykowcy w 20 wieku, to okaże się, że proces ten w tej nauce działał na zasadzie linii produkcyjnej (конвейера), czyli niekończącej się taśmy produkcyjnej.
Na początku tej linii stali tacy jak TcC i hazelhard, tj. ci, którzy umieją pisać proposale na otrzymywanie pieniędzy.
Zaraz za nimi kroczą specjaliści od kompleksowego otumaniania prydurków (polityków i wojskowych), czyli różni eine, których eksperymenty kosztują nas od dziesiątków milionów, do miliardów dolarów, a otrzymane rezultaty są na tyle enigmatyczne, że ludzie jeszcze setki lat będą udawać, iż są zajęci ich analizami.
Na końcu tej "wstęgi" Mobiusa usadowili się "pisarze". Znawcy katermionów i innych egzotycznych struktur matematycznych, czyli ci, co robią szum informacyjno-matematyczny i mogą zapełnić szpalty szmatławców. Przez ten szum bardzo rzadko przebija się jakakolwiek ważna informacja, szczególnie o nowych odkryciach dokonywanych potęgą ludzkiego rozumu.
Ponieważ "linia produkcyjna" pracuje nawet wtedy, gdy nasi "bohaterzy" śpią, to najczęściej niespodzianki przychodzą z Kosmosu Tak było i w tym wypadku, gdy jakiś "oszołom i rozrabiacz" dostrzegł, że jakieś promieniowanie ze Słońca oddziaływuje na pierwiastki promieniotwórcze skracając ich czas półrozpadu i opublikował tą sensacyjną informację w "Stanford University News".
A więc, jak widać nie pomogą apele, typu:
Do oszołomów i rozrabiaczy mówię:A męćcie sobie ile chcecie - ale u siebie i na własny rachunek!
Jeśli tematy będą tak podawane, jak ostatni wykład prof. Jadczyka o Maxwellu, to klasycznej fizyki nic nie uratuje, o czym świadczą wypowiedzi tej "elyty", który została na jego blogu:
Ale, widzę, że wszyscy - zanim dyskutować o kwaternionach, dyskutuja o duperelach. Albowiem, na tych ostatnich kazdy się zna.
No, możnaby jeszcze dyskutować o Maxwellu, ale i to zbyt męczący temat.
Wracamy jednak na nasze podwórko. Porównajcie sobie co się dzieje w waszych głowach, gdy czytacie o mękach matematycznego Maxwella z owczesnym elektromagnetyzmem i porównujecie to z lekkością, logicznością i konsekwencją tłumaczenia tego, co ja mam dla was do przekazania.
Może wtedy znikną z łamów blogów prawdy objawione:
Nie można sensownie rozmawiać o fizyce bez matematyki
gdyż nawet pracownik fizyczny, czy też absolwent katedry prac ręcznych nie da się na to złapać!
Gdy pojawiła się nowa cząstka – elektrino - obdarzona masą, ładunkiem i skończonymi wymiarami, to automatycznie, wraz z nią pojawiły się takie pojęcia jak: objętość elektrino, kwant dodatnio naładowanej materii, kwant dodatniego ładunku.
Ale to nie wszystko. Cząstka ta oddziaływuje z innymi tak samo naładowanymi cząstkami, oraz elektronami, elektroujemnie naładowaną materią, dając początek wszystkim obiektom Naszego Swiata. Ileż tu możliwości. Jak w termodynamice. Co krok to jakaś stała fizyczna.
Przyszedł więc czas przybliżyć czytelnikom kolejną z nich.
Stała Millikana.
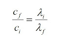
Badając teoretyczne aspekty rozprzestrzenienia światła i struktury promienia monochromatycznego idącego od elementarnego generatora w konwekcyjnej strefie Słońca, otrzymano rezultaty potwierdzające zależność prędkości rozprzestrzenienia promieniowania od jego częstotliwości.
Wtedy też ustalono, że prędkość rozprzestrzenienia światła naturalnego, charakteryzuje tylko jego fioletową część, przedstawiającą najwyżej wysokoczęstotliwościową składową w wiązce światła widzialnego, oraz otrzymano równanie:

gdzie:
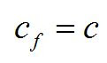
- prędkość rozprzestrzeniania się promieni fioletowych.
Z powyższego wynika, że:

Ponieważ

to powyższe równanie można przedstawić przy pomocy częstotliwości:

Parametry fioletowej części światła widzialnego są zmierzone z dużą dokładnością, a więc nie przedstawia trudności wyliczyć wartość tej stałej:

Właśnie tą stałą wielkość fizyczną, jej odkrywca prof. Bazijew zaproponował nazwał stałą Millikana, w cześć znanego amerykańskiego fizyka, który pierwszy dokładnie zmierzył ładunek elektronu.


Komentarze
Pokaż komentarze (2)