Kiedyś prof. Jadczyk zapytał dlaczego w oddziaływaniu planet na umysł należy brać pod uwagę iloczyn ich oddziaływań a nie na przykład ich sumę. Iloczyny funkcji okresowych obiegu ciał niebieskich daja pewną zgodność z rozkładem słów pisanych ...
Ok ...
Znalazłem pewną odpowiedź w multiplikatywności, która jest podstawą rozkładów lognormalnych, zbieżnych w jakimś stopniu z rozkładem słów według długości, ale czuję, że nie jest to pełna odpowiedź na zagadnienie (jeśli w ogóle takie zagadnienie istnieje).
Potem była próba dopasowywania fenomenologicznego prawa Webera-Fechnera na odbiór sygnałów przez nasze zmysły ... do sygnałów grawitacyjnych działających na nasz umysł ... odbiór sygnału powinien być logarytmem naturalnym z bodźca ....
Ale, w wyniku spacerów do Dixon Woods i tej „drzazgi” w głowie, powstało pytanie: dlaczego w równaniu na powszechną grawitację Newtona jest iloczyn mas a nie ich suma? Hmm ... pytanie wydaje się trywialne po tylu stuleciach stosowania tego prawa, z dobrym skutkiem ... ale filozofa amatora, takiego jak ja, takie pytania wciąż pociągają ... do szukania odpowiedzi. ....
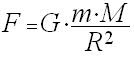
Oto wzór Newtona w najprostszej postaci:
Przekształćmy go do postaci logarytmicznej:
Hmm ... taki jest obraz dla oddziaływania dwóch mas .... Ale przecież na nasz umysł oddziaływuje nieskończona (skończona?) liczba mas:
wtedy nasz logarytm ma postać:
A teraz weźmy dowolny tekst (np. literacki), i niech będzie on traktowany jako prosta suma wyrazów ... wzór logarytmiczny, w zależności od „i”, czyli liczby mas oddziałujących może przyjmować dowolną długość tzn. składać się z dowolnej liczby elementów ... tak jak dowolna jest długość każdego tekstu pisanego (myślanego?)
Jeśli Wszechświat jest nieskończony, również liczba słów jest nieskończona ...
Logarytm ma jedną istotną właściwość: dla wartości 1 przyjmuje wartość 0. To w jakiś sposób tłumaczyłoby odrębność matematyki od słów myślanych. Bo jeśli jest wartość 1, to nie potrzeba słowa myślanego. Jest 1 (Jednia Pana Stanisława). Jeśli jest 1, to jest możliwa każda inna liczba – algebraicznie, bez dodatkowych słów.
I teraz jest czas na jerraz21 ... czyli badanie liczb, opisywanych słowem ...
pozdrawiam serdecznie i świątecznie




Komentarze
Pokaż komentarze (8)