Z cyklu: "Fizyka dla tych, którzy chcą zrozumieć" (dla wszystkich innych - geometria)
Dla zrozumienia całego szeregu zjawisk, jakie mają miejsce w atmosferze, należałoby zająć się najpierw fundamentalnymi związkami w układzie Ziemia – Słońce – Kosmos.
W świecie nie istnieje ani jeden zamknięty układ energetyczny. Tak, wszystkie biologiczne obiekty, zamieszkałe na powierzchnii Ziemi (mikroby, rośliny i zwierzęta) są lokalnymi termodynamicznymi układami systemu stanowiącego tło. Tym systemem jest atmosfera.
Dokładnie tak samo, wszystkie maszyny elektryczne na Ziemi i burzowe chmury toposfery są lokalnymi układami tła, którym jest system elektryczny Ziemi.
Nadprzewodzący selenoid Kammerlinga-Onnesa odłączony od zasilania, przez dowolnie długi czas mógł trzymać dookoła siebie wichrowe pole tylko dlatego, że między nim, a wichrowym polem Ziemi, stanowiącym w tym układzie tło, ustaliła się równowaga dynamiczna.
Jeśli magnes stały przez długie lata nie traci swoich magnetycznych właściwości, to tylko dlatego, że między nim i magnetyzmem tła też ustaliła się równowaga dynamiczna. Istota tej równowagi polega na tym, że skład elektrino wchodzących w potok magnesu stałego stale się odnawia – część elektrino przechodzi do magnetosfery Ziemi (właściwiej - elektrinosfery), a na ich miejsce przechodzą nowe elektrino z tej magnetosfery.
Z powyższego wynika, że jeśli swobodny ładunek Ziemi dQ byłby nagle neutralizowany, to za tym zniknęłoby geomagnetyczne pole Ziemi, a następnie, z chwilowym opóźnieniem, stanęłaby cała produkcja prądu elektrycznej.
Podczas analizy budowy Ziemi ustalono, że ilość elektrino jaka uwalnia się w jądrze B jest dokładnie równa tej ilości, jaka jest potrzebna do neutralizacji wolnych elektronów z pewnym opóźnieniem "tau".
Jak widać, kolosalna ilość elektrino tworząca magnetosferę jest dostarczana do Ziemi przez Słońce i okrążającą Ziemię Kosmiczną przestrzeń, w postaci potoku neutrino (konkretniej - elektrino).
Możemy wyznaczyć gęstość potoku elektrino od słońca:
A = S/R = 1360W/1,3037881*10^-21 J = 1,0431142*10^24 m^-2s^-2 [3.43]
gdzie: S – stała Słoneczna ustalona eksperymentalnie; R– stała Rutherforda – energia jednego elektrino.
O wyprowadzeniu stałej Rutherforda można przeczytać w pliku rozmieszczonym pod adresem:
http://electrino.pl/Forum/viewtopic.php?t=24&sid=691240a0ad566d13ebf4b0594986ff0a
Jaka jest gęstość potoku elektrino z przestrzeni kosmicznej jeszcze nie wiemy, gdyż nie był jeszcze zbudowyny przyrząd pozwalający ustalić tą wielkość.
Teraz możemy przeanalizować zadanie trzech ciał w układzie potencjał Ziemi – elektrino – potencjał lokalny. Dla rozwiązania tego zadania weźmiemy przewodnik aluminiowy z prądem, przedstawiający układ lokalny.
Na każde elektrino z wichrowego pakietu przemieszczającego się wzdłuż przewodnika, działają dwie siły:
- radialna siła przewodnika, utrzymującego elektrino w swoim polu statycznym;
- zewnętrzna, uformowana polem Ziemi i starająca się wyrwać elektrino z pola przewodnika.
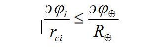
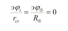
Rozproszenie elektrino z układu przewodnika i jego przejście w skład geomagnetycznego pola Ziemi zachodzi przy spełnieniu następującego warunku:

gdzie: rci- promień krytyczny dla i-tego lokalnego źródła ujemnego statycznego pola, za przedziałami którego elektrino przechodzi w geomegnetyczny potok. Przyjmując, że w równaniu [3.44] jest znak równości otrzymamy zadanie trzech ciał:

Z którego możemy wyznaczyć rci:

Dla przewodnika aluminiowego c potencjałem
-16,191638 V, promień działania wynosi rAl:

Po wyznaczeniu nadmiernych ładunków możemy przystąpić do wyliczenia potencjałów składników atmosfery i promieni ich wpływu na elektrino.
Korzystając z wzoru [3.46] możemy wyliczyć wielkości promieni oddziaływania lokalnych pól dla przyziemnego słoja atmosfery. Gdy chcemy dokonać odpowiednich wyliczeń dla toposfery, to musimy uwzględnić wysokość nad powierzchnią Ziemi :



Komentarze
Pokaż komentarze (27)